最短路问题的求解方法

内短路是锂离子电池最为严重的安全事故,内短路一旦发生,短路点瞬间会产生极大的电流,从而导致局部温度急剧升高,引起隔膜收缩,正负极材料热分解,从而产生更多的热量,进而引发热失控。 内...

内短路是锂离子电池最为严重的安全事故,内短路一旦发生,短路点瞬间会产生极大的电流,从而导致局部温度急剧升高,引起隔膜收缩,正负极材料热分解,从而产生更多的热量,进而引发热失控。

内短路通常会引起电池热失控,彻底破坏电池内部结构,给内短路的研究造成了极大的困难。近日美国celgard公司的Weifeng Fang(第一作者,通讯作者)等人通过电-热耦合的三维模型对锂离子电池的内短路过程进行了模拟仿真。

锂离子电池的内短路通常可以分为几种类型:1)集流体之间的短路,铜箔、铝箔之间短路;2)正负极活性物质之间;3)负极活性物质和铝箔之间;4)正极活性物质和铜箔之间,四种类型的内短路会导致完全不同的后果。多数的研究认为负极活性物质与Al箔之间的短路是最危险的,主要是因为短路点的阻抗小,并且负极放热反应的触发温度低,因此人们通常会对正极裸漏铝箔的位置进行绝缘处理(如粘贴胶带、氧化物涂层等)。

针对锂离子电池内短路人们开发了多种研究方法,例如针刺法、钝头针挤压法、内部预置法等手段来模拟锂离子电池内部短路。除了上述的实验方法,数字模拟仿真也是研究锂离子电池内部短路的有效方法,其中最简单的方法是借助等效电路(如下图a所示),通过简单的计算可以知道当短路点的电阻与电池内阻相同时短路点的产热量最大,但是这种方法最大的缺陷在于过度简单,因为锂离子电池的内阻实际上与工作电流之间存在密切的关系,大电流下极化会显著增加,从而造成电池内阻增加,因此这种方法实际上并不能很好的反应锂离子电池内短路的真实过程。

哪种短路模式最危险?锂离子电池内短路的数字化模拟揭示真相

为了更好的了解锂离子电池在内短路的过程中内部的反应过程,作者构建了三维模型对锂离子电池的针刺过程进行了研究。

实验中作者以1Ah的软包锂离子电池为研究对象,电池首先被充电至100%SoC,然后再氩气保护的手套箱里进行拆解,并在隔膜上制作一个直径2mm的孔,对于需要负极与铝箔短路的情形,则将隔膜孔对应位置的正极处的活性物质剥离,将铝箔裸露出来。为了避免电池再重新装配的过程中发生短路,作者采用聚酰亚胺绝缘片对隔膜孔的位置进行了覆盖,然后将电池重新装配和密封。在进行电池内短路测试之前作者首先将聚酰亚胺绝缘片取出,然后给电池微孔处施加压力直到电池发生内部短路。

哪种短路模式最危险?锂离子电池内短路的数字化模拟揭示真相

下图为作者构建的锂离子电池3D模型,这里为了简化模型、减少计算时间,三维模型采用了叠片设计,电化学模型则是基于多孔电极模型和浓溶液模型进行构建,构建过程中采用的物质传递、电荷守恒、能量守恒等公式如下表所示,其中下式1和2主要是用来确定固相和液相的电位,3和4主要用来描述固相和液相中的扩散,5为能量平衡,6为电池极化电压。

哪种短路模式最危险?锂离子电池内短路的数字化模拟揭示真相

哪种短路模式最危险?锂离子电池内短路的数字化模拟揭示真相

欧姆热是短路点的主要热量来源,欧姆热可以采用下式进行求解

哪种短路模式最危险?锂离子电池内短路的数字化模拟揭示真相

不同于常规的锂离子电池模拟,内短路模拟中电流的边界条件是不确定的,但是电池的电压是非常容易测量的,因此在这里作者采用电池的电压作为边界条件。热模型采用自然对流换热模型,

哪种短路模式最危险?锂离子电池内短路的数字化模拟揭示真相

为了实现电化学、热模型的耦合,作者采用阿伦尼乌斯公式将扩散系数、电导率和交换电流密度等参数与温度进行了关联。锂离子电池负极SEI膜在温度超过90℃时会发生分解反应释放热量,但是在本项研究中由于电池容量较小,因此只在短路点周围很小的范围内温度超过这一温度,因此作者在模型中并没有考虑副反应的放热。

模型中采用的相关参数如下表所示

哪种短路模式最危险?锂离子电池内短路的数字化模拟揭示真相

正负极的开路电压如下图所示,模型的求解工作是在COMSOL 4.3版本软件中进行的。

哪种短路模式最危险?锂离子电池内短路的数字化模拟揭示真相

在负极活性物质-正极活性物质短路中由于电子要穿过正负极材料,因此阻抗较大,而在负极活性物质、正极铝箔接触过程中由于没有了阻抗较大的正极材料,因此短路电流会相对更大。作者也对这两种极限情况进行了实验测试和模拟仿真,下图a和b分别为负极活性物质-铝箔,负极活性物质-正极活性物质的内短路过程电压变化测试结果与仿真结果。从图中能够看到在内短路的瞬间两者都发生了电压突降,不同的是负极活性物质与铝箔接触的瞬间电压降更大,这主要是因为短路点的电阻更小,因此产生了更大的短路电流。

哪种短路模式最危险?锂离子电池内短路的数字化模拟揭示真相

下图为两种短路模式下测量得到的电池短路点温度和模拟得到的短路点温度变化结果,从下图a可以看到在负极活性物质与铝箔接触的工况下,电池的温度快速升高到了260℃,这一温度足以触发锂离子电池发生热失控,然后又快速降低到了100℃附近,而在负极活性物质-正极活性物质短路的模式下则电池的温升较为温和,大约45s才缓慢的升高到了110℃,这种温度缓慢升高的模式一般不会触发锂离子电池热失控。

哪种短路模式最危险?锂离子电池内短路的数字化模拟揭示真相

下图中作者展示了两种短路模式下短路点欧姆热的产生速率和短路点电流变化,从图中看到在负极活性物质-铝箔短路模式下短路点的最大电流达到了18A,而负极活性物质-正极活性物短路模式下短路点的最大短路电流仅为2.6A,因此负极活性物质-铝箔短路模式下短路点的产热速率也要明显高于负极活性物质-正极活性物质模式,更容易触发锂离子电池热失控。

哪种短路模式最危险?锂离子电池内短路的数字化模拟揭示真相

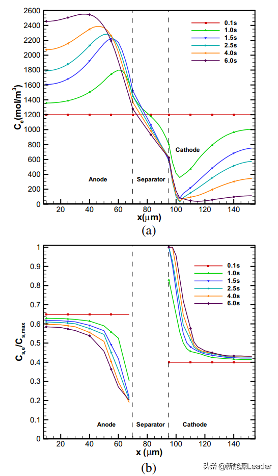
下图a为负极活性物质-铝箔短路的过程中电池内部电解液中锂浓度的变化趋势,从图中能够看到在2s以内在隔膜靠近正极的一侧锂浓度快速降低,这会显著的降低电池内部的反应速率,因此也限制了短路电流的升高,最终短路点电流在达到最大值后开始降低。

哪种短路模式最危险?锂离子电池内短路的数字化模拟揭示真相

下图a负极活性物质-正极活性物质短路过程中电解液中锂浓度变化,从图中能够看到在这种短路模式下电解液内的锂浓度变化平缓,并没有出现扩散限制,因此短路点的电流也缓慢升高。

哪种短路模式最危险?锂离子电池内短路的数字化模拟揭示真相

Weifeng Fang的研究表明在所有的短路模式中,负极活性物质-铝箔短路模式由于接触电阻最小,因此短路电流最大、温升最大,是最危险的一种短路模式,非常容易触发锂离子电池热失控,需要对正极铝箔裸漏处进行有效的绝缘,避免内短路的发生。

本文主要参考以下文献,文章仅用于对相关科学作品的介绍和评论,以及课堂教学和科学研究,不得作为商业用途。如有任何版权问题,请随时与我们联系。

Study of internal short in a Li-ion cell-II. Numerical investigation using a 3D electrochemical-thermal model, Journal of Power Sources 248 (2014) 1090-1098, Weifeng Fang, Premanand Ramadass, Zhengming (John) Zhang

来源:新能源Leader,文/凭栏眺

  • 发表于 2022-03-18 12:43:49
  • 阅读 ( 449 )
  • 分类:科技

0 条评论

请先 登录 后评论
万思特
万思特

33271 篇文章

你可能感兴趣的文章

相关问题